Invertir implica riesgos. XTB ofrece Acciones, ETFs, Derechos Fraccionados y Derivados (CFDs). Los CFDs son instrumentos complejos y están asociados a un riesgo elevado de perder dinero rápidamente debido al apalancamiento. El 71% de las cuentas de inversores minoristas pierden dinero en la comercialización con CFDs con este proveedor. Debe considerar si comprende el funcionamiento de los CFDs y si puede permitirse asumir un riesgo elevado de perder su dinero.
XTB ofrece Acciones, ETFs, Derechos Fraccionados y Derivados (CFDs). Los CFDs son instrumentos complejos y están asociados a un riesgo elevado de perder dinero rápidamente debido al apalancamiento. El 71% de las cuentas de inversores minoristas pierden dinero en la comercialización con CFDs con este proveedor. Debe considerar si comprende el funcionamiento de los CFDs y si puede permitirse asumir un riesgo elevado de perder su dinero.
El modelo CAPM es una fórmula que establece una relación entre el riesgo de un activo y su rentabilidad esperada. En este artículo, te contamos cómo se aplica y cuáles son sus riesgos y ventajas.
El modelo CAPM (por sus siglas en inglés Capital Asset Pricing Model) es un concepto con muchísimo peso en el ámbito de las finanzas y las inversiones. En concreto, porque sirve para calcular la rentabilidad esperada de un activo en función de su riesgo. Así mismo, se utiliza recurrentemente en el análisis de inversiones y en la valoración de activos. A lo largo de este artículo explicaremos qué es el modelo CAPM, sus componentes, cómo se calcula y cuáles son sus principales ventajas y limitaciones con ejemplos prácticos.
¿Qué es el modelo CAPM?
El modelo CAPM es una fórmula que establece una relación entre el riesgo de un activo y su rentabilidad esperada. Desarrollado en los años 60 por economistas como William F. Sharpe y Jack Treynor, el CAPM se basa en la idea de que los inversores necesitan ser compensados no solo por el valor temporal del dinero, sino también por el riesgo extra que asumen al invertir. Por ende, diríamos que el CAPM resuelve tres problemas concretos:
Ayuda a determinar si un activo está correctamente valorado.
Te permite comparar activos en términos de rentabilidad ajustada al riesgo.
Es fundamental para estimar la tasa de descuento para proyectos de inversión.
Componentes clave del modelo CAPM
Como se trata de una fórmula, el CAPM se compone de cuatro elementos que se deben conocer:
Rentabilidad libre de riesgo (Rf): representa el rendimiento de una inversión sin riesgo, como pueden ser los Bonos del Estado.
Beta (β): mide la sensibilidad del rendimiento del activo en comparación con el mercado. Un β mayor a 1 indica un activo más volátil que el mercado, mientras que un β menor a 1 señala menor riesgo.
Rentabilidad esperada del mercado (Rm): es la rentabilidad promedio que los inversores esperan obtener del mercado en general.
Prima de riesgo del mercado (Rm - Rf): es la diferencia entre la rentabilidad del mercado y la tasa libre de riesgo.
El resultado de aplicar esta fórmula o modelo CAPM será la rentabilidad esperada de un activo.
¿Cómo se calcula la rentabilidad esperada con CAPM?
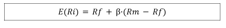
Así mismo, vamos a la parte matemática. O sea, a la fórmula CAPM:
En esta fórmula:
E(Ri): rentabilidad esperada del activo.
Rf: tasa libre de riesgo.
β: sensibilidad del activo frente al mercado.
(Rm−Rf): prima de riesgo del mercado.
Por tanto, solo queda definir y sustituir los valores en la fórmula para obtener la rentabilidad esperada del activo.
¿Cómo interpretar el resultado del CAPM?
El resultado del CAPM representa la rentabilidad esperada que un inversor debería exigir para asumir el riesgo de un activo. Si el rendimiento es superior al resultado del CAPM, el activo puede estar infravalorado y es una buena oportunidad de inversión. En cambio, si el rendimiento es inferior, el activo podría estar sobrevalorado.
Con todo ello, el resultado del CAPM ayudará a:
Identificar oportunidades de inversión rentables.
Estimar la tasa de descuento para valorar proyectos o empresas.
Comparar activos en términos de rentabilidad ajustada al riesgo.
Ejemplo práctico del modelo CAPM en una inversión
Por si aún no quedó del todo claro el concepto de CAPM, aquí mostramos un ejemplo. Supongamos que estás pensando invertir en una acción que presenta los siguientes datos:
Tasa libre de riesgo (Rf): 2%.
Rentabilidad esperada del mercado (Rm): 8%.
Beta (β): 1.5.
En este caso, aplicando la fórmula que hemos comentado, quedaría así:
La rentabilidad esperada es del 11%. Por ello, si la acción ofrece un rendimiento mayor al 11%, podríamos considerarla como una buena inversión.
Ventajas y limitaciones del modelo CAPM
Como cualquier herramienta financiera o instrumento de inversión, el modelo CAPM ofrece beneficios e inconvenientes. Es decir, que compensa más o menos según el activo y las circunstancias.
Como aspectos positivos o principales ventajas del modelo CAPM, destacan las siguientes:
Simplicidad. Ofrece un marco claro y fácil de entender para valorar activos.
Es muy útil para comparaciones. Ayuda a evaluar diferentes activos bajo un mismo criterio.
Aplicabilidad. Es una herramienta estándar en la valoración de activos financieros y en la estimación de la tasa de descuento. Por eso, se puede aplicar fácilmente.
Incorpora el riesgo sistemático. El CAPM permite diferenciar entre riesgo sistemático (que afecta a todo el mercado) y no sistemático (específico del activo).
Base para la diversificación. Al centrarse en el riesgo sistemático, fomenta que se construya una cartera diversificada que minimice el riesgo no sistemático.
Versatilidad. Aunque fue desarrollado para acciones, es posible aplicarlo a otros activos como bonos o proyectos de inversión.
En el mundo financiero, cada perfil de inversor es distinto, ya sea por los objetivos que buscan con sus inversiones, por su experiencia, sus conocimientos o nivel de tolerancia al riesgo. En función de cuál sea el perfil, el modelo CAPM puede presentar ciertos inconvenientes o limitaciones, como pueden ser:
Suposiciones idealizadas y poco realistas. Asume mercados eficientes, lo cual no siempre es realista. Además, considera que los inversores son racionales y tienen acceso a la misma información.
Impacto limitado del riesgo idiosincrático. El CAPM no tiene en cuenta factores internos de una empresa o sector que puedan ser cruciales en ciertas inversiones.
Beta no estática. La beta puede variar con el tiempo, lo que afecta a la precisión del modelo.
Enfoque simplista. No contempla otros factores que puedan influir en el precio de un activo, como son los riesgos específicos o posibles cambios macroeconómicos.
Para valorar correctamente qué estrategia de inversión se debe seguir y cuáles son los activos más adecuados para nuestro perfil de inversor, es recomendable aplicar distintas herramientas de análisis tanto técnico como fundamental, ya que, con ellas, podremos evaluar en mayor profundidad las características de los activos.
Comparativa con el WACC
Además del CAPM, existen otros modelos de valoración de activos, entre los que destaca el WACC (Weighted Average Cost of Capital). Mientras que el CAPM se centra en la relación entre riesgo y rentabilidad de un activo individual, el WACC determina el coste promedio ponderado de una empresa en su financiación. No obstante, ambos modelos son complementarios y se emplean en contextos diferentes.
El CAPM es especialmente útil si se quiere valorar un activo y actuar según la relación entre su riesgo y su rentabilidad. Aunque tiene sus limitaciones, su simplicidad y aplicabilidad lo convierten en una herramienta de cabecera para miles de inversores y analistas. Por ello, si se busca optimizar inversiones y entender bien los factores que influyen en la rentabilidad, el CAPM es un modelo que, sin dudas, debe ser parte de ese análisis.
Invierte SIN COMISIONES en Acciones y ETFs
*A partir de 100.000 € al mes, comisión del 0,2% (mín. 10 €). Puede aplicarse un 0,5% de tarifa de cambio de divisa. Invertir implica riesgos.
En XTB, puedes encontrar distintos instrumentos en los que invertir y aplicar el modelo CAPM para conocer su posible rentabilidad. Dentro de nuestra amplia oferta financiera, contamos más de 3.000 acciones y 500 ETF de grandes compañías, como Nvidia (NVDA.US), el Banco Santander (SAN1.ES), o IAG (IAG.ES). Nuestro usuarios pueden invertir hasta 100.000 euros al mes sin comisiones de compra y venta. Además, aquellos que quieran invertir en varios tipos de activos a la vez pueden hacerlo a través de nuestros planes de inversión, una funcionalidad que permite combinar distintos títulos, programando las aportaciones de manera periódica y eligiendo tanto el importe como el plazo o método de pago. En concreto, nuestros usuarios pueden crear su plan de inversión a partir de tan sólo 15 euros, pudiendo elegir hasta 9 ETFs diferentes en cada uno de sus planes.
Este material es una comunicación publicitaria. La presente comunicación publicitaria no es una recomendación de inversión o información que recomiende o sugiera una estrategia de inversión ni se incluye en el ámbito del asesoramiento en materia de inversión recogido en la Ley de los Mercados de Valores y de los Servicios de Inversión.
La presente comunicación publicitaria se ha preparado con la mayor diligencia, transparencia y objetividad posible, presentando los hechos conocidos por el autor en el momento de su creación y está exento de cualquier elemento de análisis. Esta comunicación publicitaria se ha preparado sin tener en cuenta las necesidades del cliente ni su situación financiera individual, y no representa ninguna estrategia de inversión ni recomendación.
En caso de que la comunicación publicitaria contenga información sobre el rendimiento o comportamiento del instrumento financiero al que se refiere, esto no constituye ninguna garantía o previsión de resultados futuros. El rendimiento pasado no es necesariamente indicativo de resultados futuros y cualquier persona que actúe sobre esta información lo hace bajo su propio riesgo.
XTB S.A. no es responsable de las acciones u omisiones del cliente, especialmente por la adquisición o disposición de instrumentos financieros, realizados con base en la información que contiene la presente comunicación publicitaria.
Al hacer clic en "Aceptar todas", aceptas el almacenamiento de cookies en tu dispositivo para mejorar la navegación en la página web, analizar el uso de la página web, y ayudar en nuestras estrategias de márketing.
Este grupo contiene cookies que son necesarias para que funcione nuestra página web. Forman parte de las funcionalidades como las preferencias de idioma, distribución de tráfico o mantener abierta la sesión del usario. No se pueden deshabilitar.
Nombre de la cookie
Descripción
SERVERID
userBranchSymbol
Fecha de caducidad:
1 día
adobe_unique_id
Fecha de caducidad:
364 días
test_cookie
Fecha de caducidad:
1 hora
SESSID
Fecha de caducidad:
1 día
__hssc
Fecha de caducidad:
1 hora
__cf_bm
Fecha de caducidad:
1 hora
intercom-id-iojaybix
Fecha de caducidad:
270 días
intercom-session-iojaybix
Fecha de caducidad:
6 días
leavingBranchPopup
countryIsoCode
intercom-device-id-iojaybix
Fecha de caducidad:
270 días
xtbCookiesSettings
Fecha de caducidad:
364 días
TS5b68a4e1027
xtbLanguageSettings
Fecha de caducidad:
364 días
userPreviousBranchSymbol
Fecha de caducidad:
364 días
__cfruid
_cfuvid
_GRECAPTCHA
Fecha de caducidad:
179 días
Utilizamos herramientas que nos dejan analizar el uso de nuestra página web. Estos datos nos permiten mejorar la experiencia del usuario en nuestra página web.
Nombre de la cookie
Descripción
_gid
Fecha de caducidad:
1 día
_gaexp
Fecha de caducidad:
91 días
_gat_UA-16408788-1
Fecha de caducidad:
1 hora
_gat_UA-121192761-1
Fecha de caducidad:
1 hora
_gcl_au
Fecha de caducidad:
89 días
_ga_CBPL72L2EC
Fecha de caducidad:
729 días
_ga
Fecha de caducidad:
729 días
AnalyticsSyncHistory
Fecha de caducidad:
29 días
__hstc
Fecha de caducidad:
179 días
__hssrc
ln_or
Fecha de caducidad:
1 día
_hjSessionUser_1132297
Fecha de caducidad:
364 días
_hjFirstSeen
Fecha de caducidad:
1 hora
_hjIncludedInSessionSample
Fecha de caducidad:
1 hora
_hjSession_1132297
Fecha de caducidad:
1 hora
_hjIncludedInPageviewSample
Fecha de caducidad:
1 hora
_hjAbsoluteSessionInProgress
Fecha de caducidad:
1 hora
_vwo_uuid_v2
Fecha de caducidad:
365 días
_vwo_uuid
Fecha de caducidad:
365 días
_vwo_ds
Fecha de caducidad:
29 días
_vwo_sn
Fecha de caducidad:
1 hora
_vis_opt_s
Fecha de caducidad:
99 días
_vis_opt_test_cookie
__hssc
Fecha de caducidad:
1 hora
_ga_TC79BEJ20L
Fecha de caducidad:
729 días
Este grupo de cookies se utiliza para mostrarte anuncios de temas en los que estás interesado. También nos permite monitorizar nuestras actividades de márketing, y nos ayuda a medir la efectividad de nuestros anuncios.
Nombre de la cookie
Descripción
_omappvp
Fecha de caducidad:
3998 días
_omappvs
Fecha de caducidad:
1 hora
_fbp
Fecha de caducidad:
89 días
fr
Fecha de caducidad:
89 días
lang
_ttp
Fecha de caducidad:
389 días
_tt_enable_cookie
Fecha de caducidad:
389 días
hubspotutk
Fecha de caducidad:
179 días
omSeen-pyfa0xtqk5j72jwykxzy
Fecha de caducidad:
29 días
YSC
VISITOR_INFO1_LIVE
Fecha de caducidad:
179 días
VISITOR_PRIVACY_METADATA
Fecha de caducidad:
179 días
__Secure-ROLLOUT_TOKEN
Fecha de caducidad:
179 días
_rdt_uuid
Fecha de caducidad:
89 días
guest_id_marketing
Fecha de caducidad:
729 días
guest_id_ads
Fecha de caducidad:
729 días
personalization_id
Fecha de caducidad:
729 días
guest_id
Fecha de caducidad:
729 días
muc_ads
Fecha de caducidad:
729 días
Las cookies de este grupo almacenan las preferencias que elijas mientras utilizas la página web, para que ya estén establecidas cuando vuelvas a visitar la página tiempo después.
Nombre de la cookie
Descripción
UserMatchHistory
Fecha de caducidad:
29 días
bcookie
Fecha de caducidad:
364 días
lidc
Fecha de caducidad:
1 día
lang
bscookie
Fecha de caducidad:
364 días
li_gc
Fecha de caducidad:
179 días
Esta página utiliza cookies. Las cookies se almacenan en tu navegador y las utilizan la mayoría de las páginas web para ayudarte a personalizar tu experiencia web. Para obtener más información vea nuestra Política de Privacidad. Puedes gestionar las cookies pinchando en "Configuración". Al hacer clic en "Aceptar todas", das tu consentimiento para todas nuestras cookies.
Cambiar región e idioma
El país de residencia especificado no está operativo. Elige otro país.
Idioma
Cambiar el idioma afecta el cambio de jurisdicción y supervisor