Invertir implica riesgos. XTB ofrece Acciones, ETFs, Derechos Fraccionados y Derivados (CFDs). Los CFDs son instrumentos complejos y están asociados a un riesgo elevado de perder dinero rápidamente debido al apalancamiento. El 71% de las cuentas de inversores minoristas pierden dinero en la comercialización con CFDs con este proveedor. Debe considerar si comprende el funcionamiento de los CFDs y si puede permitirse asumir un riesgo elevado de perder su dinero.
XTB ofrece Acciones, ETFs, Derechos Fraccionados y Derivados (CFDs). Los CFDs son instrumentos complejos y están asociados a un riesgo elevado de perder dinero rápidamente debido al apalancamiento. El 71% de las cuentas de inversores minoristas pierden dinero en la comercialización con CFDs con este proveedor. Debe considerar si comprende el funcionamiento de los CFDs y si puede permitirse asumir un riesgo elevado de perder su dinero.
El TIR es una métrica financiera esencial para estudiar la rentabilidad de una inversión o proyecto. En este artículo, te contamos qué es exactamente, para qué sirve y cómo se calcula.
El TIR es un concepto básico a la hora de hacer un análisis financiero y evaluar el rendimiento de una inversión. Básicamente, se trata de un indicador con el que cualquier inversor puede determinar la rentabilidad esperada de un proyecto o activo, lo que le convierte una herramienta muy útil para tomar decisiones informadas. En este artículo, te explicamos qué es exactamente el TIR, para qué sirve y cómo se calcula.
¿Qué es el TIR?
El TIR, siglas con las que se conoce a la Tasa Interna de Retorno o de Rendimiento, es una métrica financiera esencial para estudiar la rentabilidad de una inversión o proyecto. Técnicamente, representa la tasa de descuento que iguala el valor presente neto (VPN) de los flujos de caja futuros de una inversión a cero Así, representa rendimiento anual promedio esperado que un inversor obtendrá si su proyecto o inversión se desarrolla según lo previsto.
El TIR es un indicador fundamental para inversores y gestores financieros porque les ayuda a comparar distintas vías de inversión con un mismo criterio. Gracias a él, puede valorar:
Proyectos internos. El TIR Evalúa la viabilidad de nuevos proyectos empresariales.
Proyectos a largo plazo. La TIR ayuda a prever el rendimiento en iniciativas con horizontes temporales de larga duración.
El TIR apoya en la toma de decisiones, ya que aporta información muy interesante en comparación con otros indicadores, como el coste de capital. Además, este indicador también muestra el rendimiento máximo que un inversor puede aceptar sin incurrir en pérdidas, el cual se puede medir de la siguiente manera:
Si la TIR de una inversión es superior al coste de financiación, se considera rentable.
Si la TIR es inferior, el proyecto puede no ser viable.
De cara a valorar la información que el TIR puede ofrecernos, es recomendable tener claro el funcionamiento de los tipos de interés y su peso en los análisis financieros, ya que nos ayudarán a comprender cómo de beneficiosa puede llegar a ser una inversión.
¿Para qué sirve la TIR?
El TIR es una tasa con numerosas aplicaciones prácticas en las finanzas, puesto que se utiliza para:
Comparar proyectos: facilita la elección entre diferentes opciones de inversión, ayudando a priorizar aquellos con mayor rentabilidad esperada.
Determinar viabilidad: evalúa si un proyecto generará beneficios superiores al coste de oportunidad del capital. Por ende, asegura que se eligen proyectos sostenibles.
Análisis de riesgos: identifica proyectos con tasas de retorno potencialmente insostenibles o inferiores al promedio del mercado, lo cual mitiga posibles pérdidas.
Planificación financiera: ayuda a prever rendimientos a largo plazo, siendo clave para proyectos de infraestructura, inversión en tecnología o iniciativas de gran escala.
Gestión de carteras: guía a los inversores en la selección de activos que maximicen el rendimiento ajustado al riesgo. Así, optimiza las carteras de inversión.
Valuación de empresas y activos: es útil para analizar la rentabilidad esperada en procesos de fusiones, adquisiciones y valoración de negocios.
Evaluación de financiación: sirve también para comparar alternativas de financiación, valorando sus flujos de caja y el coste de los recursos que se utilicen.
¿Cómo se calcula el TIR?
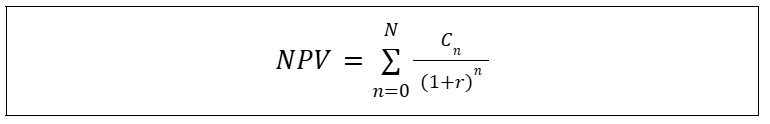
Más allá del concepto teórico, a la hora de invertir es importante es saber cómo calcular la TIR. En este sentido, hay una fórmula para el TIR, matemática y básica, que es:
En ella, los valores de la ecuación son:
NPV: Valor neto actual
N: número total de periodos
n: entero no negativo
Cn: flujo de caja
r: tasa interna de retorno
El cálculo del TIR es complejo si hay que sustituir manualmente cada valor en la fórmula. Por eso, en su lugar, se emplea un método iterativo o herramientas como hojas de cálculo o software. Eso sí, en el proceso, hay que seguir este paso a paso:
Identificar los flujos de caja futuros del proyecto.
Estimar un valor inicial para la tasa de descuento.
Ajustar la tasa hasta que el VPN sea igual a cero.
Aun así, en Excel se puede calcular fácilmente el TIR usando la función =TIR(valores).
Ejemplo de cálculo del TIR
Para verlo más claramente, pongamos un ejemplo de TIR con su cálculo. Imagina un proyecto que exige una inversión inicial de 10.000 euros y genera los siguientes flujos de caja:
Con estas cifras, para calcular el TIR:
La inversión inicial es de 10.000 euros.
Se identifican los flujos de caja: se reciben 3.000 euros en el primer año, 4.000 euros en el segundo y 5.000 euros en el tercero.
Supón una tasa de descuento del 10% y calcula el VPN. Al obtener un valor negativo, aumenta la tasa para aproximarte a un VPN de 0.
Así que debes ir incrementando la tasa hasta encontrar el valor que equilibre el VPN. En este caso, a una tasa del 18,37%, el VPN se aproxima a 0.
Por lo tanto, el TIR para este proyecto es del 18,37%.
Ventajas y limitaciones de la Tasa Interna de Retorno
Como casi cualquier herramienta financiera, el TIR, por sus características, ofrece tanto ventajas como desventajas. O, más bien, limitaciones.
Por el lado positivo, las principales ventajas de este indicador son:
Fácil interpretación. Proporciona un porcentaje muy claro sobre la rentabilidad esperada.
Comparabilidad. Es idóneo para comparar proyectos de distinto tamaño o duración.
Herramienta integral. Tiene en cuenta todos los flujos de caja del proyecto.
Adaptabilidad. Es útil en numerosos sectores y tipos de inversión, desde proyectos empresariales hasta la evaluación de activos financieros.
Soporte para la toma de decisiones. Ayuda a marcar prioridades en la asignación de recursos y a detectar proyectos más prometedores.
Complemento para el análisis financiero. Su integración con otros indicadores, enriquece el análisis de viabilidad de las inversiones.
Proyección a largo plazo. Es especialmente valiosa en inversiones con flujos de caja extendidos en el tiempo, como infraestructuras o bienes raíces.
En cambio, en cuanto a las limitaciones a las que hacíamos referencia, hay que tener en cuenta principalmente:
Suposiciones poco realistas. El TIR asume que todos los flujos de caja se reinvierten a la misma tasa. Algo que no siempre es así.
Dificultad de cálculo. Como se ha visto en el ejemplo, exige software especializados para el cálculo, sobre todo, en proyectos grandes.
Múltiples valores. En casos de flujos de caja no convencionales, es posible que haya más de un TIR.
Por ello, es recomendable complementar el análisis del TIR con otros indicadores financieros como el VPN o payback, de cara a obtener una información más fiable y segura.
Aplicaciones del TIR en finanzas e inversiones
A pesar de los riesgos que presenta, el TIR es ampliamente utilizado en las finanzas y en el ámbito de la inversión por sus ventajas . De hecho, en este campo se aplica habitualmente para:
Determinar la rentabilidad de una nueva línea de producción o expansión.
Valorar bonos y acciones en función de sus flujos de caja futuros.
Calcular la rentabilidad de propiedades de alquiler o proyectos de desarrollo.
Escoger activos con tasas de retorno competitivas.
El TIR es un indicador vital para inversores que quieren maximizar su rentabilidad y actuar con datos y cifras en la mano. Su utilidad para evaluar proyectos, comparar alternativas y planificar a largo plazo la hacen imprescindible.
Este material es una comunicación publicitaria. La presente comunicación publicitaria no es una recomendación de inversión o información que recomiende o sugiera una estrategia de inversión ni se incluye en el ámbito del asesoramiento en materia de inversión recogido en la Ley de los Mercados de Valores y de los Servicios de Inversión.
La presente comunicación publicitaria se ha preparado con la mayor diligencia, transparencia y objetividad posible, presentando los hechos conocidos por el autor en el momento de su creación y está exento de cualquier elemento de análisis. Esta comunicación publicitaria se ha preparado sin tener en cuenta las necesidades del cliente ni su situación financiera individual, y no representa ninguna estrategia de inversión ni recomendación.
En caso de que la comunicación publicitaria contenga información sobre el rendimiento o comportamiento del instrumento financiero al que se refiere, esto no constituye ninguna garantía o previsión de resultados futuros. El rendimiento pasado no es necesariamente indicativo de resultados futuros y cualquier persona que actúe sobre esta información lo hace bajo su propio riesgo.
XTB S.A. no es responsable de las acciones u omisiones del cliente, especialmente por la adquisición o disposición de instrumentos financieros, realizados con base en la información que contiene la presente comunicación publicitaria.
Al hacer clic en "Aceptar todas", aceptas el almacenamiento de cookies en tu dispositivo para mejorar la navegación en la página web, analizar el uso de la página web, y ayudar en nuestras estrategias de márketing.
Este grupo contiene cookies que son necesarias para que funcione nuestra página web. Forman parte de las funcionalidades como las preferencias de idioma, distribución de tráfico o mantener abierta la sesión del usario. No se pueden deshabilitar.
Nombre de la cookie
Descripción
SERVERID
userBranchSymbol
Fecha de caducidad:
1 día
adobe_unique_id
Fecha de caducidad:
364 días
test_cookie
Fecha de caducidad:
1 hora
SESSID
Fecha de caducidad:
1 día
__hssc
Fecha de caducidad:
1 hora
__cf_bm
Fecha de caducidad:
1 hora
intercom-id-iojaybix
Fecha de caducidad:
270 días
intercom-session-iojaybix
Fecha de caducidad:
6 días
leavingBranchPopup
countryIsoCode
intercom-device-id-iojaybix
Fecha de caducidad:
270 días
xtbCookiesSettings
Fecha de caducidad:
364 días
TS5b68a4e1027
xtbLanguageSettings
Fecha de caducidad:
364 días
userPreviousBranchSymbol
Fecha de caducidad:
364 días
__cfruid
_cfuvid
_GRECAPTCHA
Fecha de caducidad:
179 días
Utilizamos herramientas que nos dejan analizar el uso de nuestra página web. Estos datos nos permiten mejorar la experiencia del usuario en nuestra página web.
Nombre de la cookie
Descripción
_gid
Fecha de caducidad:
1 día
_gaexp
Fecha de caducidad:
91 días
_gat_UA-16408788-1
Fecha de caducidad:
1 hora
_gat_UA-121192761-1
Fecha de caducidad:
1 hora
_gcl_au
Fecha de caducidad:
89 días
_ga_CBPL72L2EC
Fecha de caducidad:
729 días
_ga
Fecha de caducidad:
729 días
AnalyticsSyncHistory
Fecha de caducidad:
29 días
__hstc
Fecha de caducidad:
179 días
__hssrc
ln_or
Fecha de caducidad:
1 día
_hjSessionUser_1132297
Fecha de caducidad:
364 días
_hjFirstSeen
Fecha de caducidad:
1 hora
_hjIncludedInSessionSample
Fecha de caducidad:
1 hora
_hjSession_1132297
Fecha de caducidad:
1 hora
_hjIncludedInPageviewSample
Fecha de caducidad:
1 hora
_hjAbsoluteSessionInProgress
Fecha de caducidad:
1 hora
_vwo_uuid_v2
Fecha de caducidad:
365 días
_vwo_uuid
Fecha de caducidad:
365 días
_vwo_ds
Fecha de caducidad:
29 días
_vwo_sn
Fecha de caducidad:
1 hora
_vis_opt_s
Fecha de caducidad:
99 días
_vis_opt_test_cookie
__hssc
Fecha de caducidad:
1 hora
_ga_TC79BEJ20L
Fecha de caducidad:
729 días
Este grupo de cookies se utiliza para mostrarte anuncios de temas en los que estás interesado. También nos permite monitorizar nuestras actividades de márketing, y nos ayuda a medir la efectividad de nuestros anuncios.
Nombre de la cookie
Descripción
_omappvp
Fecha de caducidad:
3998 días
_omappvs
Fecha de caducidad:
1 hora
_fbp
Fecha de caducidad:
89 días
fr
Fecha de caducidad:
89 días
lang
_ttp
Fecha de caducidad:
389 días
_tt_enable_cookie
Fecha de caducidad:
389 días
hubspotutk
Fecha de caducidad:
179 días
omSeen-pyfa0xtqk5j72jwykxzy
Fecha de caducidad:
29 días
YSC
VISITOR_INFO1_LIVE
Fecha de caducidad:
179 días
VISITOR_PRIVACY_METADATA
Fecha de caducidad:
179 días
__Secure-ROLLOUT_TOKEN
Fecha de caducidad:
179 días
_rdt_uuid
Fecha de caducidad:
89 días
guest_id_marketing
Fecha de caducidad:
729 días
guest_id_ads
Fecha de caducidad:
729 días
personalization_id
Fecha de caducidad:
729 días
guest_id
Fecha de caducidad:
729 días
muc_ads
Fecha de caducidad:
729 días
Las cookies de este grupo almacenan las preferencias que elijas mientras utilizas la página web, para que ya estén establecidas cuando vuelvas a visitar la página tiempo después.
Nombre de la cookie
Descripción
UserMatchHistory
Fecha de caducidad:
29 días
bcookie
Fecha de caducidad:
364 días
lidc
Fecha de caducidad:
1 día
lang
bscookie
Fecha de caducidad:
364 días
li_gc
Fecha de caducidad:
179 días
Esta página utiliza cookies. Las cookies se almacenan en tu navegador y las utilizan la mayoría de las páginas web para ayudarte a personalizar tu experiencia web. Para obtener más información vea nuestra Política de Privacidad. Puedes gestionar las cookies pinchando en "Configuración". Al hacer clic en "Aceptar todas", das tu consentimiento para todas nuestras cookies.
Cambiar región e idioma
El país de residencia especificado no está operativo. Elige otro país.
Idioma
Cambiar el idioma afecta el cambio de jurisdicción y supervisor