Invertir implica riesgos. XTB ofrece Acciones, ETFs, Derechos Fraccionados y Derivados (CFDs). Los CFDs son instrumentos complejos y están asociados a un riesgo elevado de perder dinero rápidamente debido al apalancamiento. El 71% de las cuentas de inversores minoristas pierden dinero en la comercialización con CFDs con este proveedor. Debe considerar si comprende el funcionamiento de los CFDs y si puede permitirse asumir un riesgo elevado de perder su dinero.
XTB ofrece Acciones, ETFs, Derechos Fraccionados y Derivados (CFDs). Los CFDs son instrumentos complejos y están asociados a un riesgo elevado de perder dinero rápidamente debido al apalancamiento. El 71% de las cuentas de inversores minoristas pierden dinero en la comercialización con CFDs con este proveedor. Debe considerar si comprende el funcionamiento de los CFDs y si puede permitirse asumir un riesgo elevado de perder su dinero.
El interés compuesto es la acumulación de intereses sobre intereses y un concepto vital a la hora de maximizar nuestras estrategias de inversión, ya que es capaz de aumentar exponencialmente el crecimiento de nuestras inversiones. En este artículo, te contamos qué es exactamente, cómo funciona y cuáles son sus riesgos y ventajas.
El interés compuesto es un concepto vital en el mundo financiero, ya que es capaz de transformar radicalmente el crecimiento de tus inversiones. Aprovecharlo bien nos permite ganar intereses sobre nuestro capital inicial y generar intereses sobre los que ya hemos acumulado. Es decir, puede impulsar exponencialmente el valor de nuestros ahorros o inversiones. Este efecto multiplicador lo convierte en una poderosa herramienta para maximizar beneficios a largo plazo. En las próximas líneas, te explicamos en detalle qué es el interés compuesto, cómo funciona y cómo aplicarlo en nuestras estrategias de inversión.
¿Qué es el interés compuesto?
El interés compuesto es la acumulación de intereses sobre intereses. En lugar de calcularse únicamente sobre el capital inicial (como ocurre en el interés simple), en el interés compuesto los intereses se suman al saldo principal, mientras que los intereses futuros se calculan sobre este nuevo saldo.
Por decirlo de una forma más coloquial, es un proceso que crea un efecto de "bola de nieve", ya que la inversión crece cada vez más rápido en función del tiempo.
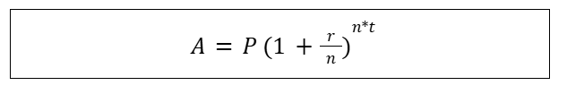
Fórmula del interés compuesto y cómo aplicarla
Existe una fórmula básica para calcular el interés compuesto, que consiste en:
Esta fórmula está compuesta por los siguientes elementos:
A: cantidad final de la inversión.
P: capital inicial.
r: tasa de interés.
n: número de veces que se compone el interés en un año.
t: tiempo en años.
Para aplicar esta fórmula de interés compuesto, basta con seguir los siguientes pasos:
Define el capital inicial (P). Decide cuánto vas a invertir.
Elige la tasa de interés (r). Consulta la tasa de interés anual o trimestral del instrumento financiero que vas a utilizar.
Fija la frecuencia de capitalización (n). Piensa que las inversiones se capitalizan anual, trimestral o mensualmente.
Escoge el plazo de inversión (t). Ten en cuenta que cuanto más largo sea, más notarás el efecto compuesto.
Con estos datos podrás proyectar los resultados de una inversión y, por consiguiente, visualizar la importancia o el papel del interés compuesto en tu estrategia de inversión. De hecho, es tan importante porque hace que tu dinero trabaje para ti. O sea, que acelera el crecimiento de tu capital de forma exponencial y sin esfuerzos u operaciones extra.
Cómo funciona el interés compuesto en las inversiones
Cuando inviertes con interés compuesto, estás reinvirtiendo los beneficios generados por tu inversión. Así, cada vez que se generen intereses, estos se sumarán al capital inicial, incrementado el importe total sobre el cual se aplicará el interés en el siguiente período.
Por todo ello, invertir con interés compuesto acelera la tasa de crecimiento de tu inversión. Además, suele ser una operación automática y que no te va a exigir acciones adicionales. Así que, cuanto mayor sea el tiempo de inversión, mayor será el impacto del interés compuesto.
Ejemplo de interés compuesto en una inversión
Para entender mejor cómo funciona el interés compuesto, lo mejor es verlo con un ejemplo práctico:
Imagina que inviertes 1.000 euros con una tasa de interés compuesto anual del 5%. Después de 5 años, el importe total de tu inversión sería aproximadamente de 1.276 euros, gracias al interés compuesto.
Para ilustrarlo con mayor claridad, la siguiente tabla muestra cómo crecería la inversión año tras año:
Como puedes observar, el crecimiento no es lineal, sino exponencial. Asimismo, el ejemplo de interés compuesto en esta tabla refleja el gran impacto que tiene en tu inversión.
Diferencia entre interés simple e interés compuesto
Si hablamos de interés compuesto, también hay que entenderlo en comparación con el simple. La principal diferencia entre el interés compuesto y el interés simple es que en los intereses simples se calculan solo sobre el capital inicial. Es decir, no se generan intereses adicionales sobre los intereses acumulados.
En cambio, en el compuesto los intereses se calculan sobre el saldo total acumulado (capital inicial + intereses anteriores), ofreciendo una acumulación más rápida y cuantiosa de capital. Por ello, este tipo de interés resulta muy ventajoso en las inversiones a largo plazo (por ejemplo, para ahorrar para la jubilación), donde este efecto acumulativo se multiplica año tras año.
Beneficios del interés compuesto a largo plazo
Aunque el principal beneficio del interés compuesto es su capacidad para hacer crecer las inversiones en mayor medida que el interés simple, este tipo de interés también ofrece otras ventajas que conviene conocer antes de aplicarlo a nuestras estrategias:
El capital crece exponencialmente.
Maximiza los rendimientos a largo plazo, ya que cuanto mayor es el tiempo de inversión, más potente es su efecto multiplicador.
Genera ingresos pasivos.
La reinversión es automática y constante, sin esfuerzo adicional.
Mantiene el valor real del dinero frente a la inflación.
Ayuda a construir un ahorro sólido para la jubilación.
Es flexible, ya que ofrece opciones de capitalización variadas.
Se adapta a diferentes tipos de inversiones, optimizando carteras diversificadas.
La reinversión a largo plazo, en algunos casos, tiene ventajas fiscales.
En resumen, el interés compuesto potencia el crecimiento del capital de manera continua, acumulativa y eficiente. Con él, tanto nuestros pequeños ahorros como las grandes inversiones que podemos tener se benefician de una estrategia de crecimiento sostenible y a largo plazo.
¿Dónde invertir para aprovechar el interés compuesto?
A la hora de invertir utilizando el interés compuesto, podemos recurrir a un amplio abanico de opciones. Algunas de las más destacadas son:
Cuentas de ahorro de alto rendimiento y otros planes de inversión. Generan interés compuesto, aunque a menudo con tasas más bajas.
Fondos de inversión y ETFs. Son idóneos para la reinversión automática de tus beneficios.
Dividendos reinvertidos en acciones. Algunos activos te dan la posibilidad de reinvertir automáticamente los dividendos que hayas generado, incrementando tu capital acumulado.
Planes de pensiones. Aportar a estos planes de forma continua nos permite aprovechar el interés compuesto para tu retiro. Por ello, resulta recomendable de cara a diseñar una estrategia de ahorro de cara a tu jubilación.
Factores que debes valorar al elegir una inversión con interés compuesto
Antes de invertir con interés compuesto, no obstante, es importante tener en cuenta ciertos aspectos de cara a maximizar su uso:
Tasa de interés y frecuencia de capitalización. Cuanto mayor sea la tasa y la frecuencia de capitalización, mayor será el crecimiento potencial.
Horizonte temporal. El interés compuesto genera más beneficios en las inversiones a largo plazo.
Riesgos asociados. Aunque el interés compuesto te ofrece grandes ventajas, también es importante que comprendas los riesgos de cada tipo de inversión. De hecho, nos detenemos más abajo en este punto.
Riesgos del interés compuesto
Aunque el interés compuesto ofrece ventajas muy atractivas como las que hemos mencionado, también presenta ciertos riesgos que debes conocer:
Riesgo de mercado. Las inversiones en fondos de inversión o acciones están sujetas a la volatilidad del mercado.
Riesgo de liquidez. Las inversiones a largo plazo pueden tener menor liquidez, dificultándote el acceso a los fondos en caso de que los necesites.
Riesgo de inflación. Si la tasa de interés es inferior a la inflación, el valor real de tu dinero puede disminuir con el tiempo.
Entender estos riesgos y gestionarlos adecuadamente también es otro aspecto que nos ayudará a maximizar los beneficios del interés compuesto.
Invierte SIN COMISIONES en Acciones y ETFs
*A partir de 100.000 € al mes, comisión del 0,2% (mín. 10 €). Puede aplicarse un 0,5% de tarifa de cambio de divisa. Invertir implica riesgos.
Con el interés compuesto tenemos a nuestra disposición una herramienta capaz de transformar el crecimiento de nuestra ahorros e inversiones. Aplicarlo con estrategia y con una visión a largo plazo nos ayudará a optimizar tu rendimiento y a alcanzar nuestros objetivos financieros.
Invertir en XTB
En XTB, puedes encontrar distintos instrumentos en los que invertir y aplicar el interés compuesto. Dentro de nuestra amplia oferta financiera, contamos más de 3.000 acciones y 500 ETF de grandes compañías, como Nvidia (NVDA.US), el Banco Santander (SAN1.ES), BBVA (BBVA.ES) o IAG (IAG.ES). Nuestro usuarios pueden invertir hasta 100.000 euros al mes sin comisiones de compra y venta. Además, aquellos que quieran invertir en varios tipos de activos a la vez pueden hacerlo a través de nuestros planes de inversión, una funcionalidad que permite combinar distintos títulos, programando las aportaciones de manera periódica y eligiendo tanto el importe como el plazo o método de pago. En concreto, nuestros usuarios pueden crear su plan de inversión a partir de tan sólo 15 euros, pudiendo elegir hasta 9 ETFs diferentes en cada uno de sus planes.
Este material es una comunicación publicitaria. La presente comunicación publicitaria no es una recomendación de inversión o información que recomiende o sugiera una estrategia de inversión ni se incluye en el ámbito del asesoramiento en materia de inversión recogido en la Ley de los Mercados de Valores y de los Servicios de Inversión.
La presente comunicación publicitaria se ha preparado con la mayor diligencia, transparencia y objetividad posible, presentando los hechos conocidos por el autor en el momento de su creación y está exento de cualquier elemento de análisis. Esta comunicación publicitaria se ha preparado sin tener en cuenta las necesidades del cliente ni su situación financiera individual, y no representa ninguna estrategia de inversión ni recomendación.
En caso de que la comunicación publicitaria contenga información sobre el rendimiento o comportamiento del instrumento financiero al que se refiere, esto no constituye ninguna garantía o previsión de resultados futuros. El rendimiento pasado no es necesariamente indicativo de resultados futuros y cualquier persona que actúe sobre esta información lo hace bajo su propio riesgo.
XTB S.A. no es responsable de las acciones u omisiones del cliente, especialmente por la adquisición o disposición de instrumentos financieros, realizados con base en la información que contiene la presente comunicación publicitaria.
Al hacer clic en "Aceptar todas", aceptas el almacenamiento de cookies en tu dispositivo para mejorar la navegación en la página web, analizar el uso de la página web, y ayudar en nuestras estrategias de márketing.
Este grupo contiene cookies que son necesarias para que funcione nuestra página web. Forman parte de las funcionalidades como las preferencias de idioma, distribución de tráfico o mantener abierta la sesión del usario. No se pueden deshabilitar.
Nombre de la cookie
Descripción
SERVERID
userBranchSymbol
Fecha de caducidad:
1 día
adobe_unique_id
Fecha de caducidad:
364 días
test_cookie
Fecha de caducidad:
1 hora
SESSID
Fecha de caducidad:
1 día
__hssc
Fecha de caducidad:
1 hora
__cf_bm
Fecha de caducidad:
1 hora
intercom-id-iojaybix
Fecha de caducidad:
270 días
intercom-session-iojaybix
Fecha de caducidad:
6 días
leavingBranchPopup
countryIsoCode
intercom-device-id-iojaybix
Fecha de caducidad:
270 días
xtbCookiesSettings
Fecha de caducidad:
364 días
TS5b68a4e1027
xtbLanguageSettings
Fecha de caducidad:
364 días
userPreviousBranchSymbol
Fecha de caducidad:
364 días
__cfruid
_cfuvid
_GRECAPTCHA
Fecha de caducidad:
179 días
Utilizamos herramientas que nos dejan analizar el uso de nuestra página web. Estos datos nos permiten mejorar la experiencia del usuario en nuestra página web.
Nombre de la cookie
Descripción
_gid
Fecha de caducidad:
1 día
_gaexp
Fecha de caducidad:
91 días
_gat_UA-16408788-1
Fecha de caducidad:
1 hora
_gat_UA-121192761-1
Fecha de caducidad:
1 hora
_gcl_au
Fecha de caducidad:
89 días
_ga_CBPL72L2EC
Fecha de caducidad:
729 días
_ga
Fecha de caducidad:
729 días
AnalyticsSyncHistory
Fecha de caducidad:
29 días
__hstc
Fecha de caducidad:
179 días
__hssrc
ln_or
Fecha de caducidad:
1 día
_hjSessionUser_1132297
Fecha de caducidad:
364 días
_hjFirstSeen
Fecha de caducidad:
1 hora
_hjIncludedInSessionSample
Fecha de caducidad:
1 hora
_hjSession_1132297
Fecha de caducidad:
1 hora
_hjIncludedInPageviewSample
Fecha de caducidad:
1 hora
_hjAbsoluteSessionInProgress
Fecha de caducidad:
1 hora
_vwo_uuid_v2
Fecha de caducidad:
365 días
_vwo_uuid
Fecha de caducidad:
365 días
_vwo_ds
Fecha de caducidad:
29 días
_vwo_sn
Fecha de caducidad:
1 hora
_vis_opt_s
Fecha de caducidad:
99 días
_vis_opt_test_cookie
__hssc
Fecha de caducidad:
1 hora
_ga_TC79BEJ20L
Fecha de caducidad:
729 días
Este grupo de cookies se utiliza para mostrarte anuncios de temas en los que estás interesado. También nos permite monitorizar nuestras actividades de márketing, y nos ayuda a medir la efectividad de nuestros anuncios.
Nombre de la cookie
Descripción
_omappvp
Fecha de caducidad:
3998 días
_omappvs
Fecha de caducidad:
1 hora
_fbp
Fecha de caducidad:
89 días
fr
Fecha de caducidad:
89 días
lang
_ttp
Fecha de caducidad:
389 días
_tt_enable_cookie
Fecha de caducidad:
389 días
hubspotutk
Fecha de caducidad:
179 días
omSeen-pyfa0xtqk5j72jwykxzy
Fecha de caducidad:
29 días
YSC
VISITOR_INFO1_LIVE
Fecha de caducidad:
179 días
VISITOR_PRIVACY_METADATA
Fecha de caducidad:
179 días
__Secure-ROLLOUT_TOKEN
Fecha de caducidad:
179 días
_rdt_uuid
Fecha de caducidad:
89 días
guest_id_marketing
Fecha de caducidad:
729 días
guest_id_ads
Fecha de caducidad:
729 días
personalization_id
Fecha de caducidad:
729 días
guest_id
Fecha de caducidad:
729 días
muc_ads
Fecha de caducidad:
729 días
Las cookies de este grupo almacenan las preferencias que elijas mientras utilizas la página web, para que ya estén establecidas cuando vuelvas a visitar la página tiempo después.
Nombre de la cookie
Descripción
UserMatchHistory
Fecha de caducidad:
29 días
bcookie
Fecha de caducidad:
364 días
lidc
Fecha de caducidad:
1 día
lang
bscookie
Fecha de caducidad:
364 días
li_gc
Fecha de caducidad:
179 días
Esta página utiliza cookies. Las cookies se almacenan en tu navegador y las utilizan la mayoría de las páginas web para ayudarte a personalizar tu experiencia web. Para obtener más información vea nuestra Política de Privacidad. Puedes gestionar las cookies pinchando en "Configuración". Al hacer clic en "Aceptar todas", das tu consentimiento para todas nuestras cookies.
Cambiar región e idioma
El país de residencia especificado no está operativo. Elige otro país.
Idioma
Cambiar el idioma afecta el cambio de jurisdicción y supervisor